Logo
Published on

姿势特别的链表——环形链表专题

Authors
  • avatar
    Name
    xiaobai
    Twitter

环形链表是链表中的一类特殊问题,它和链表反转一样,有着相对恒定的解题思路和适当的变体。如果你对它的特性和解法没有预先的了解和把握,那么前期的推导可能会花去你大量的时间。反过来看,只要我们能够掌握其核心思路,那么不管它怎么变化,大家都能在瞬间找到解题的“抓手”、进而给出正确的解答。

环形链表基本问题——如何判断链表是否成环?

真题描述:给定一个链表,判断链表中是否有环。

示例 1:

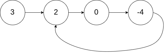
输入:[3,2,0,4](链表结构如下图) 输出:true
解释:链表中存在一个环 链表图片

思路解读

其实链表成环的特征非常明显,大家可以结合一个现实中的例子来理解:
假如现实中有一个长跑爱好者李雷,这货很狂,他立了一个 flag,说要徒步环游世界:

地球的周长围出来的这个圆,它就是一个“环”。李雷现在就想围着这个环跑上一圈,说他狂,他也没那么狂——他觉得自己最多跑一圈,为了防止自己跑过界,他决定在出发的地方立一个 flag:

这样,不管李雷走完这个环用了多少年,世事如何变迁,只要他的 flag 还没有倒,那么李雷就一定能回到自己梦开始的地方:)。
换个角度看:只要李雷在闷头前进的过程中,发现了 flag 的存在,那么就意味着,李雷确实走了一个环。毕竟若这是一条线,他将永远无法回到起点。

回到链表的世界里,也是一个道理。一个环形链表的基本修养,是能够让遍历它的游标回到原点:


从 flag 出发,只要我能够再回到 flag 处,那么就意味着,我正在遍历一个环形链表。

我们按照这个思路来做题:

编码实现

/**
 * @param {ListNode} head
 * @return {boolean}
 */
// 入参是头结点
const hasCycle = function (head) {
  // 只要结点存在,那么就继续遍历
  while (head) {
    // 如果 flag 已经立过了,那么说明环存在
    if (head.flag) {
      return true
    } else {
      // 如果 flag 没立过,就立一个 flag 再往下走
      head.flag = true
      head = head.next
    }
  }
  return false
}

环形链表衍生问题——定位环的起点

真题描述:给定一个链表,返回链表开始入环的第一个结点。 如果链表无环,则返回 null。

示例 1:

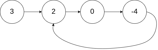
输入:head = [3,2,0,-4](如下图) 输出:tail connects to node index 1 解释:链表中有一个环,其尾部连接到第二个结点。 链表成环1

示例 2:

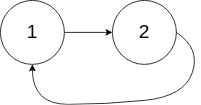
输入:head = [1,2](如下图)
输出:tail connects to node index 0
解释:链表中有一个环,其尾部连接到第一个结点。 链表成环2

示例 3:

输入:head = [1](如下图)
输出:no cycle
解释:链表中没有环。
链表成环3

思路解读

这道题在上道题的基础上,仅仅增加了一个“返回链表的成环起点”,其难度定义就从 easy 上升到了 medium。不过对于掌握了关键解题思路的各位来说,这道题仍然是 easy——因为如果一个结点是环形链表成环的起点,那么它一定是第一个被发现 flag 标志已存在的结点:

这一点不难理解,我们试想如果从头开始遍历一个链表,假如途中进入了一个环,那么首先被打上 flag 标签的其实就是环的起点。待我们遍历完这个环时,即便环上所有的结点都已经被立了 flag,但起点处的 flag 一定最先被我们定位到。因此,我们只需要在第一次发现 flag 已存在时,将对应的结点返回即可:

编码实现

/**
 * @param {ListNode} head
 * @return {ListNode}
 */
const detectCycle = function (head) {
  while (head) {
    if (head.flag) {
      return head
    } else {
      head.flag = true
      head = head.next
    }
  }
  return null
}

快慢指针的思路

这道题还有一个公认的比较经典的思路,就是用快慢指针来做:
定义慢指针 slow,快指针 fast。两者齐头并进, slow 一次走一步、fast 一次 走两步。这样如果它们是在一个有环的链表里移动,一定有相遇的时刻。这个原理证明起来也比较简单:我们假设移动的次数为 t,slow 移动的路程就是t,fast 移动的路程为2t,假如环的长度为 s,那么当下面这个条件:

2t - t = s

也就是:

t = s

满足时,slow 和 fast 就一定会相遇。反之,如果两者没有相遇,同时 fast 遍历到了链表的末尾,发现 next 指针指向 null,则链表中不存在环。

有兴趣的同学,可以尝试用双指针法实现一遍上面的判定。不过我更加推荐的仍然是“立flag”法,理解难度和编码难度上来说都更加友好,有利于大家实现题目的“秒杀”。

弦外之音

在这一节,大家会发现一个非常有趣的现象——做环形链表的系列题目,难点其实在于你怎么去想明白这个成环的过程、怎么把握成环后的特性。真正编码实现的时候,寥寥数行就可以搞定。这其实也是我想要向大家传达的一个重要的解题习惯——做算法题时,不要急于下手写代码,而应该先静下心来,稳住神、一步一步捋清楚你自己的思路。

之所以要把这点单独拎出来讲,是因为我知道很多同学平时写业务代码比较多。前端业务代码是什么特征?干就完了,对吧?反正就算代码有问题,也可以通过直观的视觉反馈及时发现、及时修复。在肉眼可见的反馈的指导下,你基本不会出什么方向性的问题。

做算法题就大不一样了,真正提交给 OJ 运行之前,除了你自己的逻辑判断之外、没有任何直观的线索能够帮你明确问题的所在。也就是说,如果你一开始压根没想清楚、脑子里本来就是一团乱麻,那么直接开干后往往是越写越乱、最后代码的修复成本也会变得非常高。

盲写代码、乱写代码,不仅容易扰乱自己的思路,也会给面试官留下“这个人怎么这么冒失”一类的负面印象。所以大家一定要尽量规避这种行为,如果实在对自己的思路感到不确定、不自信,这时候可以问对方要张纸、先线下梳理一下。真正面试的时候,我们对于自己敲在屏幕上的每一行代码,都应该抱有敬畏之心。

(阅读过程中有任何想法或疑问,或者单纯希望和笔者交个朋友啥的,欢迎大家添加我的微信xyalinode与我交流哈~)